Loading…
 

Analysis Methods

Here you can find brief description of analysis methods used in referenced articles

Maximum Likelihood (ML)

Originally, the ML method was proposed for the analysis of the Mrk~501 data set described in the Reference table. However, as we shall soon see, it became the standard analysis method used for searches of energy-dependent gamma-ray group velocity in IACT data.  
Introduced by Martinez and Errando, the unbinned ML method soon became a standard approach in searches for energy-dependent time delays, with every new study incorporating additional features and improvements. Here we will depart from the historical course, and describe the ML method in its present form. 

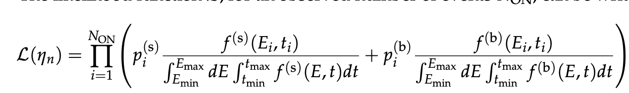
In order to search for LIV, the ML method makes use of a profile likelihood ratio test:

 
The likelihood function, for an observed number of events, can be written as:

 

Modified Cross Correlation Function (MCCF)

The MCCF is a standard cross correlation function, applied to oversampled light curves. This allows time delays below the duration of the flux bins to be resolved. 

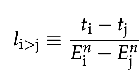
Pair View (PV)

It calculates once the energy-dependent differences in the arrival times for each pair (i, j) of photons in the sample:

 

Peak Comparison (PC)

This method can be used to look for an average phase delay ∆φ between photons from two different energy bands with mean energies E1 and E2 for the lower and the higher energy band, respectively:

 
where dCrab is the distance to the Crab pulsar, PCrab its period and c the Lorentz invariant in vaccuo speed of light (here Crab Pulsar has been taken as an example if a pulsar). Note that the phase φ is a practical quantity when describing pulsar behavior.

 

Sharpness Maximization Method (SMM)

It employs the fact that an application of a spectral dispersion to a data set will decreases sharpness of the light curve. While the ECF method maximizes the power in the selected time interval, the SMM measures the sharpness of the light curve, e.g.,

 
after applying an opposite dispersion. ρ is a fixed parameter making sure that events that are very close together are not considered in the denominator, because that would dominate the function. The intrinsic light curve is expected to be the sharpest one. Therefore, ηn for which the light curve is the sharpest will be the measure of the spectral dispersion present in the data sample.