Loading…
 

Effect

Time delays

 

Pair production on background

The universe is filled with low energy photon fields such as extragalactic background light (EBL), CMB and RB. Gamma rays traversing cosmological distances scatter off those photons creating electron-positron pairs. Consequently, their flux, observed from Earth, is attenuated. The EBL is responsible for the attenuation of gamma rays which roughly corresponds to observable energy range of current IACTs. Unfortunately, direct EBL measurements are obstructed by bright foreground emissions, mainly zodiacal light, which makes it hard to determine its precise spectrum. To tackle this problem, different phenomenological approaches predicting overall EBL spectrum have been followed.

Remarkably, EBL models obtained through different methodologies, such as Franceschini et al. and Gilmore et al., are in a good agreement. These models were tested on VHE data from sets of AGN by current IACT. Those tests were done presuming Lorentz invariance.

The gamma-ray spectrum observed from Earth is usually written as a convolution of the source intrinsic spectrum and the EBL attenuation effect:


where optical depth is given by:

 


Beyond the gamma-ray horizon, the universe becomes progressively opaque for VHE gamma rays. For a source at redshift 0.034, which is a redshift of Mrk 501, gamma-ray horizon is around 10 TeV.
When doing calculations, one must be careful to take into account cosmic expansion and notice that measurements are affected by a factor (1+z).

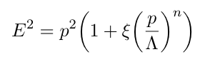
Detected gamma-ray emission up to ∼22 TeV from Mrk 501 in 1997 by High Energy Gamma Ray Astronomy (HEGRA) experiment hinted that the universe is more transparent to VHE gamma rays than expected. One possible solution to this newly arisen problem was the aforementioned modification of photon dispersion relation. Added terms in the photon dispersion relation can cause a change in the energy threshold for pair creation, consequently leading to changes in the gamma-ray absorption. In this scenario, the new energy reaction threshold is:

 

 

Vacuum Pair Production

The neutrino emission of electron-position pairs is forbidden kinematically in SR and DSR (because we still conserve a Principle of Relativity), however, in a LIV scenario this process can happen through two different ways: a neutral channel, mediated by a boson Z0, and a charged channel, mediated by a boson W+. In any case, as the final particles are massive, this process has an energy threshold for the neutrino, which depends on the scale of new physics Λ and the order of correction n.

Captura De Pantalla 2021 10 27 A Las 11.40.51  


The mean free path of the process is very short for energies above the threshold, so the astrophysical neutrinos are expected to reach the threshold energy close to the source. In this way, even the most energetic emitted neutrino will reach the threshold energy near the emission point and will be detected with energy Ed=E*/(1+ze). This implies a cut-off in the neutrino spectrum, located at

Captura De Pantalla 2021 10 27 A Las 11.58.00  


being z1 the closest source taken into account.

Photon Splitting


The photon splitting process is forbidden in SR due to energy and momentum conservation, However, such decay is allowed in the presence of a modified dispersion relation of the kind

Captura De Pantalla 2021 10 27 A Las 13.28.05  

for ξ > 0.

As the particles of the final state are masses, this process has no threshold, nevertheless, one can find that effectiveness of the process is very strong above some energy scale defined by ξ and M, and negligible below it, leading to the existence of an effective threshold.

For a certain ξ and M, one can find the value of the effective threshold and, due to the strong dependence of the lifetime on the energy, photons with energies above the threshold would quickly cascade down before reaching Earth and therefore would not be observed.

The lack of observation of such cut-off allow to put strong constraints in the values of ξ/M.

Photon decay


The photon decay into a pair electron-positron is forbidden in SR. In case of LIV with a superluminal dispersion relation for photons given by

Captura De Pantalla 2021 10 27 A Las 13.28.05  


and neglecting the LIV corrections for the electron, the process is allowed above certain threshold energy given by

Captura De Pantalla 2021 10 27 A Las 11.40.51  


Inverting the previous relation one can put constraints in the value of the scale of new physics, since gamma rays up to 200 TeV has been detected.

Proton Vacuum Cherenkov radiation

 
In this process, a proton from the nucleus emit a photon, in vacuum. This process is forbidden in SR, but it is allowed in LIV scenarios above a threshold proportional to the mass of the primary particle.

If the nuclei is above the threshold, the energy loss is expected to be strong, so the observations of cosmic rays above certain energy can be used to put constraints in the values of the scale of LIV.

Bethe-Heitler

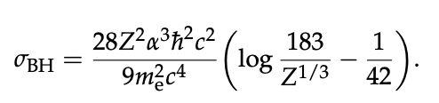
A shower development is governed by the Bethe–Heitler (B-H) process. In particular, the depth of the first interaction in the atmosphere is exponentially distributed with the mean value inversely proportional to the cross section

Screenshot 2021 10 26 At 19.56.33


Here Z is the atomic number of the nucleus, α is the fine structure constant, and me is the electron mass. In the LIV scenario, the cross section will not change significantly for superluminal photons, unless the threshold for photon decay is reached. However, in that case, the photon decay will be the dominant process, making the LIV influence on the B-H process negligible. On the other hand, if photons are subluminal, the B-H cross section becomes strongly suppressed, leading to the suppression factor

Screenshot 2021 10 26 At 19.56.37

 
As a consequence, the shower development in the LIV scenario will be impeded. The first gamma-gamma interaction will occur deeper in the atmosphere, and the effect will be more pronounced for higher gamma-ray energies. This will lead to showers reaching their maximal sizes also deeper in the atmosphere. The height of the shower maximum is an important parameter in IACTs data analysis. Depending on the experimental setup and the details of the data analysis, changes in the B-H cross section might lead to the showers induced by the most energetic gamma rays being misrepresented and excluded from further analysis. Ultimately, this will result in an apparent cut off in the spectrum at the high end
 

Decoherence